【武蔵中原|中学生】前期中間テスト対策は“手書きテスト×ノート指導”が決め手!西中原中・宮内中・今井中・井田中に強い個別指導塾|手書きの数学テストで“ノート指導”が劇的に変わる!

武蔵中原校ブログMUSASHINAKAHARA BLOG

トップ
教室のご案内
川崎市の教室一覧
武蔵中原校
武蔵中原校ブログ
【武蔵中原|中学生】前期中間テスト対策は“手書きテスト×ノート指導”が決め手!西中原中・宮内中・今井中・井田中に強い個別指導塾|手書きの数学テストで“ノート指導”が劇的に変わる!

2026.04.23 | お知らせ

【武蔵中原|中学生】前期中間テスト対策は“手書きテスト×ノート指導”が決め手!西中原中・宮内中・今井中・井田中に強い個別指導塾|手書きの数学テストで“ノート指導”が劇的に変わる!

【武蔵中原|中学生】前期中間テスト対策は“手書きテスト×ノート指導”が決め手!西中原中・宮内中・今井中・井田中に強い個別指導塾|手書きの数学テストで“ノート指導”が劇的に変わる!
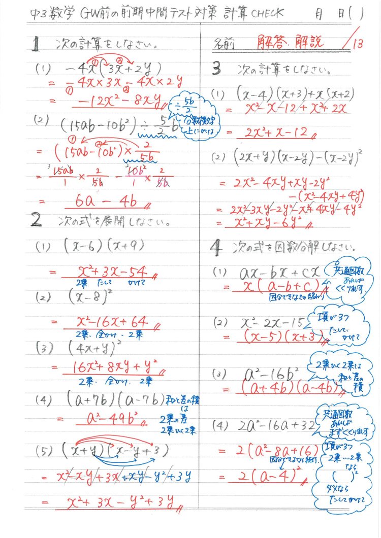
英才個別学院 武蔵中原校では、GW明けの前期中間テストに向けて、
“手書きの数学計算テスト&手書き解説”を使った対策を実施しています✍️🔥

手書きだからこそ、ノート指導が“具体的”にできる。

このプリントの最大の価値は、ノートの使い方・途中式の書き方まで指導できること。

- 途中式の抜け
- 字の大きさ
- 行の使い方
- 計算ミスの原因
- どこで思考が止まったか

こうした“見えにくい弱点”は、印刷された教材では拾いきれません。

手書きの問題だからこそ、
生徒のノートと問題の構成がリンクし、改善ポイントが一瞬で見えやすくなる。

さらに、手書きには
「あなたの学力を本気で伸ばしたい」という温度が宿る。生徒の集中度が変わる理由は、ここにあります🔥


中間テスト頻出の単元を凝縮📚

今回のプリントは
- 展開
- 因数分解
- 乗法公式
- 計算の基礎力
を“前期中間テスト仕様”に最適化。

解説も手書きで、どこでつまずいたかが一目でわかる構成になっています。

🔥対象の学校に完全対応🔥

英才個別学院 武蔵中原校には
西中原中・宮内中・今井中・井田中・中原中
大戸小・宮内小・中原小・下小田中小・今井小
の生徒が多数通っています。

学校ごとの出題傾向を踏まえ、「この学校ならこの問題が出やすいからこうすると良い!
というポイントをピンポイントで補強します。


🎉無料学習相談・体験授業 実施中🎉
- 途中式を飛ばす
- ノートが雑でミスが多い
- 計算が苦手

そんなお悩みを持つ生徒の皆さん・保護者の皆様へ。

お子さまの弱点が“見える化”し、改善の順番まで明確にしませんか?


英才個別学院 武蔵中原校は、
生徒一人ひとりの学び方そのものを整える塾です。

手書きプリントは、その象徴。
前期中間テスト、ここから一緒に最高のスタートを切りましょう💪🔥


こちらからお問合せ下さい!
お待ちしています!

OTHER他の記事

無料体験・相談 資料請求 LINE相談
無料体験・個別学習相談会
資料請求