2025.01.30 | お知らせ
【テスト分析】つきみ野中2年生 学年末試験
こんにちは!
英才個別学院 中央林間校の濵地です!
つきみ野中学校はそろそろ
学年末試験ですね!
高校受験に使われる内申なので、
皆さん張り切っていると思います!
そこで今回は
2023年つきみ野中2年生の
学年末試験問題の分析をしていきます!
(2月19日実施分)
去年の試験は・・・
ひとことで言うと難易度超高いです!
「成績に使うし、ある程度の問題もいれておこう」
といった「甘さ」はほとんどありません!笑
「この高き壁を総合力でもって越える者のみ、
成績4以上を通る(とる)がよい」
くらいの気持ちで作ってますよ。絶対。
学校の先生がどれくらいのヒントをくれたか
にもよりますが、
70点以上を取るためには
ワークを隅から隅まで「読み」、
1年範囲まで総復習などをする必要があります!
【構成】
◆大問は全3題です。
大問3が60点分以上あるので、
もう大問の意味あまりないですね・・・笑
一応、
大問1⇒基本計算
大問2⇒復習範囲の知識系
大問3⇒現範囲メインの基礎~応用
のくくりだと思います。
◆大問1(16点分)
基本的な復習範囲の計算といいつつも、
1問目から符号ミスを誘うものや
正確に途中式を書くべき分数の計算
などが多く、
「数学・数字が苦手・・・」
という子にはかなり厳しめでした。
一例を載せますが、
本当に
「1年範囲の計算が備わっている」レベル
でないと、ミスが頻発しそうな問題です。
しっかり復習しておきましょう!
うろ覚えで不安げな状態だと、
べらぼうに時間を食われると思います。
90点以上(成績5)を目指す子は、
「途中式の正確さ」と「速さ」が問われます!
「丸がつく」「解ける」だけで満足しないこと!
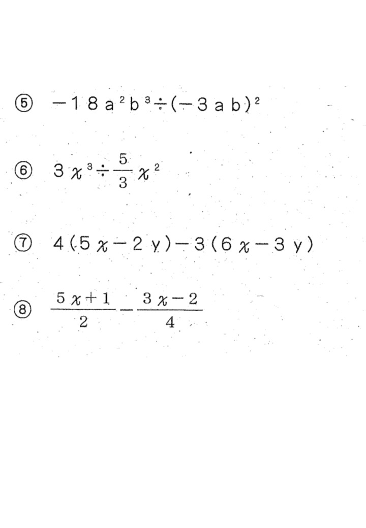
【大問1の例】
◆大問2(14点分)
ワークの説明部分にあるような
知識・定義などの穴埋め問題です。
「外角=となり合わない( )の和」
ような形式です。
これは
2学期期末以降はあまり扱わない知識なので、
しっかり復習・対策をしていないと、
作業でワークを終わらせた子は
面食らって時間を浪費すると思います。
ワークの課題問題として解いていないので、
触れていないと「なんだったっけ・・・」
となるでしょうね・・・。
問題の参考例を載せておきます。
上がテストの類題
下がワークの類題
です。
【大問2の類題】

【ワーク類題】
◆大問3(70点分)
ワークほぼそのままの問題と
応用問題が半分半分くらいです。
ワークそのままと言っても、
↑のような問題が多く、
かなり難易度は高いです。
ただ、ワークに似た問題があるので、
ワークをしっかり解き直していれば、
35点分くらいはとれると思います。
「まずは平均点(成績3)を目指す!」
という子は、大問1と2、大問3の上記問題を
解くことで60点近くを目指しましょう!
ただ、ここでも「対策必須だなぁ・・・」
と思うポイントがあります・・・。
それは、
上記の比較的自力で対策しやすい問題が
前半に集まっているわけではなく、
後述する応用系の合間に挟まっている点です。
「~のとき、▱ABCDは
どのような四角形になりますか?」
など、
条件・定義を理解した上で
「自分で作図できる」こと
などが求められたり、
ワークには一切ない
「面積比」を求められたりしてます。
※面積比の問題は、
公立高校入試の数学問題の中でも、
毎年の全受験生の正答率が1%~15%です。
トップ校受験生でも半分できれば良い方です。
まんま入試と同じ難易度ではありませんが、
何の対策もなしに解ける問題でもありません。
問題なのは、
これが大問3の全①~⑬の⑩問目にあり、
⑪が比較的取りやすい問題という所です!
・・・鬼ですね!!
【まとめ】
このように、
70点以上(成績4以上)を目指す子にとって、
①基本計算は素早く正確に
②1年範囲含む復習範囲の知識・定義が完璧
③ワークレベルの問題は必ずとる
④解くだけでなく「説明」できるように理解する
⑤入試や模試の問題などを解いて応用の幅を広げる
⑥目標点から逆算した「後回しにすべき問題」などの見極め
上記のスキルが必要な、
定期試験としては
非常に難易度の高いものでした!
英才では
上記のような傾向を踏まえつつ、
生徒達の目標点に併せて
段階を持って指導しております!
英才個別学院 中央林間校では、
①各模試やテスト対策にて
タイマーを使い、本番同様に
時間意識を身につける指導をしております!
②学校のワークも日割りの宿題で
反復・演習量を増やし、定着を図ります!
③1回85分の授業時間の中で、
生徒が本当に理解できるまで丁寧に指導します!
④数年~数十年分の模試や入試、
過去問から、あらゆる応用問題に対策します!
前回の試験で上手くいかなかった
と感じたお子様や保護者様、
是非、
英才個別学院 中央林間校に
ご相談ください!