【入学おめでとう!】新中1生の学習面留意点振り返り(後編)
近くの教室を探す
近くの教室を探す

永福校ブログEIFUKU BLOG
2024.04.09 | 学習アドバイス
【入学おめでとう!】新中1生の学習面留意点振り返り(後編)
【入学おめでとう!】新中1生の学習面留意点振り返り(後編)
東京都杉並区永福町の個別指導塾、英才個別学院 永福校です!
新中1の皆さん向けに学習アドバイスを行っています。
後半は教科のポイントです。
〇押さえておくべき英語と数学のポイント
<英語>
・単語、文章を「書けるように」
教科書の単元1~2章分+小学校で習った単語を「書ける」ようにしておくこと。
とにかく中学校ではペーパーテストがものを言います。
せっかく読めて発音できても、テストで点が取れなければ成績は上がらないのです。
まだ時間はあります。
頑張って練習してください。
・教科書ノートを作ろう!
当学院では「教科書ノート」の作成を指示しています。
ノートの左側2/3くらいのスペースに教科書の本文を書き写し、1/3くらいのスペースに新出単語を書く。
右側2/3くらいのスペースに日本語訳を書き、1/3くらいのスペースに単語の意味を書いていく。
そして本文中の重要な文法事項を書き込んでいったり、右側の日本語訳を読みながら英文を書いたりと工夫していきます。
これを行うことで書く力も鍛えられますし、英語の語順もなんとなく理解できるようになっていきます。
・辞書を引こう!
そのノート作成は学校の予習として行うよう指示しています。
当然、分からない単語がたくさん出てきます。
その時に辞書を引くよう指示しています。
できれば紙の辞書にしてください。
アルファベットの順番が頭に入りますし、一度調べた単語に色を付けておくことで何度も調べた(覚えづらい)単語を見分けることが出来ます。
自分自身で調べることによって理解は深まります。
最初は面倒に感じるかもしれませんが、辞書を引く癖をつけてください。
・保護者は点数が悪くても怒らない、けなさない
2021年度に中学校の教科書が大幅に変更となりました。
高校単元の英文法が中学に降りてきたり、これまで中3で教わっていたことを中2で習うようになったりと難易度が上がっています。
自分たちの頃とは学習内容が変わっていることを認識し、「中1の最初のテストなんて満点が普通じゃないの?」と言ってお子様を追い込むことのないようお願いします。
<数学>
とにかく計算!
中学1年生の最初は計算から始まります。
計算は練習すればするほどできるようになるもの。
しっかり学習していれば最初のテストで高得点を狙える分野ですので、得意にしてしましょう。
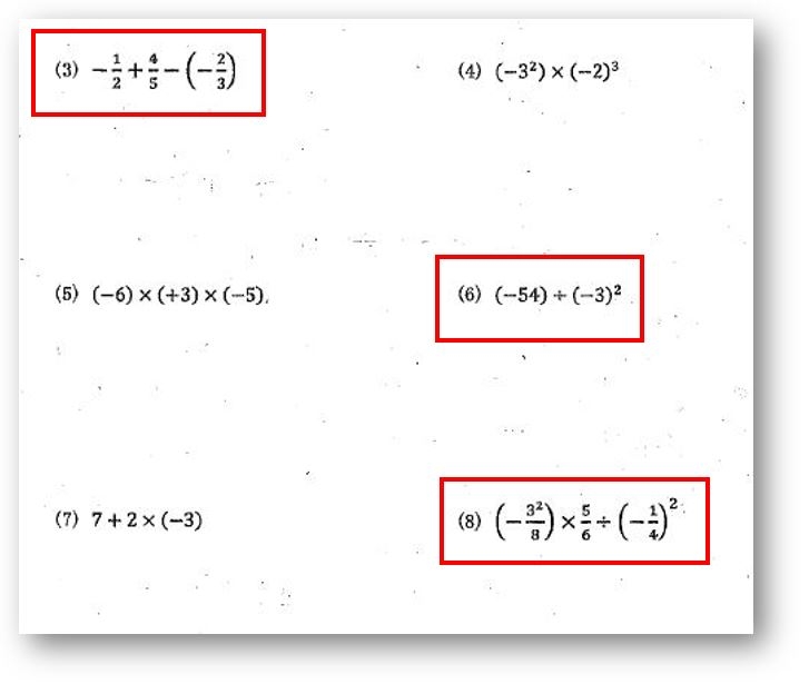
さて、計算でも特に練習をしておいてほしいのが分数。
四則演算が出ますので、たし算・ひき算の通分、かけ算の約分、わり算の逆数が分かっていないと苦労します。
こちらはある学校の中1の最初の定期テストですが、(中学範囲のものはありますが)分数の解き方が分かっていないと苦戦しそうな分数の計算が出ているのが分かると思います。
さらにだんだんと小数を分数に変えて計算したり、2学期あたりに行う方程式では速さを分数で表したりと、分数の計算がポイントになってきます。
分数に苦手意識があるお子さんは今のうちに復習しておきましょう。
<永福町の個別学院、英才個別学院 永福校へのお問い合わせはこちら>